【现代循环神经网络】深度循环神经网络
模型训练
模型优化
文章摘要

本文讲解深度循环神经网络。通过堆叠多个隐藏层增强表达能力,每层隐状态传递至下一时间步和相邻层,使用激活函数处理输入及前序状态,PyTorch实现多层LSTM时因参数增多导致训练速度下降。

到目前为止,我们只讨论了具有一个单向隐藏层的循环神经网络。其中,隐变量和观测值与具体的函数形式的交互方式是相当随意的。只要交互类型建模具有足够的灵活性,这就不是一个大问题。然而,对一个单层来说,这可能具有相当的挑战性。之前在线性模型中,我们通过添加更多的层来解决这个问题。而在循环神经网络中,我们首先需要确定如何添加更多的层,以及在哪里添加额外的非线性,因此这个问题有点棘手。
事实上,我们可以将多层循环神经网络堆叠在一起,通过对几个简单层的组合,产生了一个灵活的机制。特别是,数据可能与不同层的堆叠有关。例如,我们可能希望保持有关金融市场状况(熊市或牛市)的宏观数据可用,而微观数据只记录较短期的时间动态。
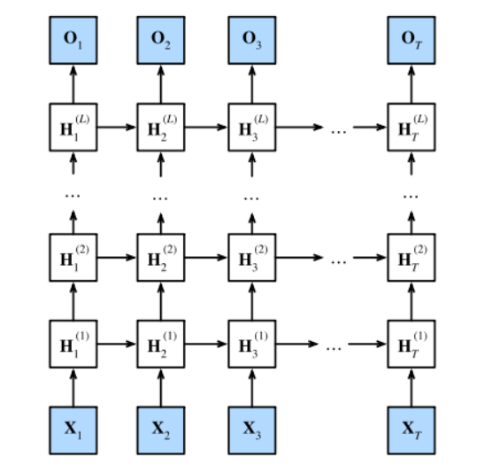
图1描述了一个具有$L$个隐藏层的深度循环神经网络,每个隐状态都连续地传递到当前层的下一个时间步和下一层的当前时间步。

一、函数依赖关系

二、简洁实现
实现多层循环神经网络所需的许多逻辑细节在高级API中都是现成的。简单起见,我们仅示范使用此类内置函数的实现方式。以长短期记忆网络模型为例,该代码与之前在长短期记忆网络(LSTM)中使用的代码非常相似,实际上唯一的区别是我们指定了层的数量,而不是使用单一层这个默认值。像往常一样,我们从加载数据集开始。
import torch
from torch import nn
from d2l import torch as d2l
batch_size, num_steps = 32, 35
train_iter, vocab = d2l.load_data_time_machine(batch_size, num_steps)
选择超参数这类架构决策也跟长短期记忆网络(LSTM)中的决策非常相似。因为我们有不同的词元,所以输入和输出都选择相同数量,即vocab_size。隐藏单元的数量仍然是$256$。唯一的区别是,我们现在通过num_layers的值来设定隐藏层数。
vocab_size, num_hiddens, num_layers = len(vocab), 256, 2
num_inputs = vocab_size
device = d2l.try_gpu()
lstm_layer = nn.LSTM(num_inputs, num_hiddens, num_layers)
model = d2l.RNNModel(lstm_layer, len(vocab))
model = model.to(device)
三、训练与预测
由于使用了长短期记忆网络模型来实例化两个层,因此训练速度被大大降低了。
num_epochs, lr = 500, 2
d2l.train_ch8(model, train_iter, vocab, lr*1.0, num_epochs, device)


小结
- 在深度循环神经网络中,隐状态的信息被传递到当前层的下一时间步和下一层的当前时间步。
- 有许多不同风格的深度循环神经网络,如长短期记忆网络、门控循环单元、或经典循环神经网络。这些模型在深度学习框架的高级API中都有涵盖。
- 总体而言,深度循环神经网络需要大量的调参(如学习率和截断)来确保合适的收敛,模型的初始化也需要谨慎。
以上内容不代表本平台立场,仅供读者参考


