数字孪生:如果与 30 年后的自己对话,对当下有什么影响


核心资料来源
论文:Future You: Designing and Evaluating Multimodal AI-generated Digital Twins for Strengthening Future Self-Continuity ,由 MIT 媒体实验室、斯坦福大学和哈佛大学的研究团队联合发表
目录
你是否曾对当下迷茫或对未来感到焦虑?或者又想攒钱买房,又想及时行乐?
这在心理学上被称为 未来自我连续性 (Future Self-Continuity) 的缺失。简单来讲,就是我们很难感知到当下的自己与未来的自己是同一个人,因此潜意识里不想为那个陌生的“他人”付出。
为了深入了解这个话题,心理学家在过去的研究中,尝试过让人们写信给未来的自己。而现在,AI 技术让这项研究有了质的飞跃。
2025 年 12 月,来自 MIT、斯坦福大学和哈佛大学的联合研究团队发布了一项重磅成果:
利用 AI 生成 30 年后的你,并与之对话,哪怕只有短短 7 分钟,也能显著增强你对未来的感知,进而改善当下的财务规划和心理健康。
一、 形式不重要:灵魂远比皮囊关键
在我们的惯性思维里,数字孪生当然是越逼真越好。如果能造出一个连皱纹都清晰可见的 3D 全息影像,那效果肯定最棒。但事实真的如此吗?
研究团队为了验证这一点,设计了一个包含 92 名参与者 的随机对照实验。他们利用 Claude 4 模型,结合参与者的生活经历,构建了一个拥有完整记忆和性格的“老年版自己”。
参与者被随机分配到三种交互模式:
- 文本聊天:就像在微信上跟老朋友打字。
- 语音通话:听到的是克隆自用户本人、但经过老化处理的声音。
- 全景头像:看到一个 30 年后、面部表情实时同步的 3D 虚拟人。
图1:三种不同的交互模式对比
实验结果出乎意料
所有模式都显著提升了用户的希望感,且没有显著差异。
虽然 3D 头像在生动性评分上略高,但在对未来的连接感、焦虑的缓解程度上,最朴素的文本聊天并不输给昂贵的 3D 渲染。这说明了一个核心真理:
对于人类心理干预而言,高算力的视觉并不是必需品。 一个能够精准捕捉你性格、理解你过往、并以连贯逻辑回应你的 灵魂,远比皮囊更重要。
二、 不同的皮囊决定了对话的走向
虽然效果相当,但不同的交互形式确实引导了 完全不同的对话走向,这为未来的 AI 产品设计提供了极具价值的参考。
研究发现了一个有趣的现象:
- 文本组:极度务实 52.6% 的话题集中在 职业规划 和 财产管理 上。用户更倾向于问:“我该怎么做才能晋升?”或者“那时候我存够钱了吗?”
- 语音和头像组:深层情感 超过 30% 的话题涉及 人生的意义 和 存在价值。面对一个“活生生”的自己,用户更愿意探讨幸福、遗憾和家庭关系。
这意味着什么?
- 如果你是开发一款 理财 APP,想鼓励用户多存养老金,那么一个简洁的 文本 AI 助手 可能最高效;
- 如果你是做 心理疗愈,一个有温度的 语音或形象代理,则更能打开用户的心扉。
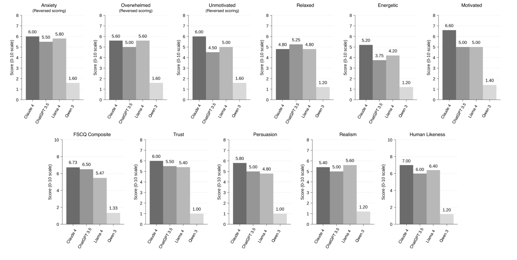
三、 Claude 4 的胜利与伦理思考
在技术选型上,研究团队进行了一次模型对比。
结果显示,Claude 4 在情感调节、信任度和拟人化指标上,以 40.8% 的综合优势碾压了 ChatGPT-3.5、Llama 4 和 Qwen 3。其中,模型的情商 和 逻辑连贯性 是决定性因素。
潜在的风险
当 AI 变得极具说服力,甚至比你更了解你自己时,它是否会反客为主?如果 AI 生成的未来告诉你:“在这个行业没前途,趁早转行吧。”
你会把它当作一个建议,还是一个自我实现的预言?
研究者警告:数字孪生应该是一面 镜子,帮你看清自己,而不是一个 教官,指挥你该怎么活。
独家洞察
这项研究的真正价值,不在于展示了 AI 技术有多先进,而在于它让技术回归于人。它告诉我们,要改变一个人的心态,不需要昂贵的 VR 头显,也不需要电影级的特效。只需要一段真诚的对话,哪怕只是屏幕上跳动的几行文字,就足以连接起当下与未来。
以下是给产品开发者和行业观察者的两条核心建议:
1. 交互质量 > 呈现模式 这是对当前 AI 产品疯狂卷视觉效果的一次警示。在许多 C 端应用场景(如教育、保险、理财)中,低成本的文本/语音 AI 方案完全可以替代高成本的数字人方案,只要模型的智商和情商在线。
2. 模式决定思维路径 不同的交互形式会无意识地重塑用户的思维路径,产品经理在设计 AI 功能时,不能只看技术指标,而要根据业务目标来选择模式。 例如,高客单价的理性决策(买房、投资)更适合文本引导,而高情感附加值的服务(陪伴、疗愈)则必须引入语音或形象。




