强化学习第四课 —— 深度强化学习:Policy Gradient 入门


引言
在强化学习(Reinforcement Learning)的世界里,我们的目标是让智能体(Agent)学会在环境中做出最优决策。实现这一目标主要有两大流派:基于价值(Value-Based) 的方法和 基于策略(Policy-Based) 的方法。今天,我们要深入探讨的是后者的核心技术——Policy Gradient(策略梯度)。
你可能会问:既然 Q-Learning 和 DQN 这类基于价值的方法已经很强大了,为什么我们还需要直接优化策略呢?这正是本文要回答的核心问题!
一、回顾:基于价值的方法 在深入 Policy Gradient 之前,让我们先简单回顾一下基于价值的方法是如何工作的。
1.1 核心思想 基于价值的方法(如 Q-Learning、DQN)的核心是学习一个价值函数:
状态价值函数 V(s):表示在状态 s 下,遵循某策略能获得的期望累积奖励
动作价值函数 Q(s, a):表示在状态 s 下采取动作 a,然后遵循某策略能获得的期望累积奖励
一旦学到了准确的 Q 函数,策略就隐式地确定了:

简单来说,就是选择 Q 值最大的动作。
1.2 局限性 这种方法虽然优雅,但存在几个关键问题:
问题一:只能处理离散动作空间
当动作空间是连续的(比如机器人关节的角度、汽车的油门/方向盘控制),对所有可能的动作取 argmax 是不现实的。想象一下,你要在无限多个连续值中找最大值!
问题二:策略是确定性的
基于 Q 函数导出的策略是确定性的——同一状态下永远选择同一动作。但在很多场景下,随机策略才是最优的,比如:
-
石头剪刀布游戏(确定性策略必输)
-
部分可观测环境
-
需要探索的场景
问题三:价值函数的微小变化可能导致策略剧变
Q 值的微小扰动可能改变 argmax 的结果,导致策略突然跳变,这使得学习过程不够稳定。
二、为何要直接优化策略? 现在,让我们正式回答这个核心问题!💡
2.1 Policy Gradient 的核心思想 与其绕道价值函数,不如直接对策略进行参数化,然后通过梯度上升来优化它!
我们用表示一个由参数 定义的策略,它输出在状态 s 下采取动作 a 的概率。我们的目标是找到最优的 ,使得期望累积奖励最大化:

其中 是一条轨迹(trajectory), 是这条轨迹的总奖励。
2.2 直接优化策略的优势 优势一:天然支持连续动作空间
策略网络可以直接输出连续动作的分布参数(比如高斯分布的均值和方差),从中采样即可得到动作。再也不用对无限个动作算 argmax 了!
伪代码示例
mean, std = policy_network(state)
action = Normal(mean, std).sample()
优势二:可以学习随机策略
策略直接输出动作的概率分布,天然支持随机性。这在对抗性环境、需要探索、或部分可观测场景下至关重要。
优势三:更好的收敛性质
策略参数的小变化只会导致策略分布的小变化,使得优化过程更加平滑稳定。
优势四:端到端优化
我们直接优化我们真正关心的目标——累积奖励,而不是间接地通过价值函数。
三、Policy Gradient 定理 好了,理念很美好,但如何计算 对 的梯度呢?毕竟期望是对轨迹分布求的,而轨迹分布本身就依赖于 !🤔
这就是 Policy Gradient 定理 大显身手的地方。
3.1 推导过程 让我们一步步来推导这个关键结果。
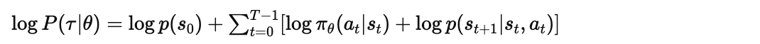
首先,目标函数可以写成:

对 求梯度:

这里有个技巧,使用对数导数技巧(Log-Derivative Trick):

代入得:

接下来,展开 :

关键观察: 和 是环境动态,与 无关!
因此:

3.2 最终形式 Policy Gradient 定理:

这个结果太美了!✨ 我们不需要知道环境的动态模型,只需要:
- 用当前策略采样轨迹
- 计算每个动作的
- 用轨迹奖励加权
四、REINFORCE 算法 基于 Policy Gradient 定理,我们可以得到最基础的策略梯度算法——REINFORCE。
4.1 算法流程
REINFORCE 算法
================
1. 初始化策略参数 θ
2. 重复以下步骤:
a. 用策略 π_θ 采样一条轨迹 τ = (s_0, a_0, r_0, s_1, a_1, r_1, ...)
b. 计算轨迹总奖励 R(τ) = Σ_t γ^t r_t
c. 计算梯度估计:g = Σ_t ∇_θ log π_θ(a_t|s_t) · R(τ)
d. 更新参数:θ ← θ + α · g
4.2 代码示例 下面是一个简化的 PyTorch 实现:
import torch
import torch.nn as nn
import torch.optim as optim
from torch.distributions import Categorical
class PolicyNetwork(nn.Module):
def init(self, state_dim, action_dim, hidden_dim=128):
super().init()
self.network = nn.Sequential(
nn.Linear(state_dim, hidden_dim),
nn.ReLU(),
nn.Linear(hidden_dim, hidden_dim),
nn.ReLU(),
nn.Linear(hidden_dim, action_dim),
nn.Softmax(dim=-1)
)
def forward(self, state):
return self.network(state)
def select_action(self, state):
probs = self.forward(state)
dist = Categorical(probs)
action = dist.sample()
log_prob = dist.log_prob(action)
return action.item(), log_prob
def reinforce(env, policy, optimizer, num_episodes=1000, gamma=0.99):
for episode in range(num_episodes):
state = env.reset()
log_probs = []
rewards = []
# 采样一条轨迹
done = False
while not done:
state_tensor = torch.FloatTensor(state)
action, log_prob = policy.select_action(state_tensor)
next_state, reward, done, _ = env.step(action)
log_probs.append(log_prob)
rewards.append(reward)
state = next_state
# 计算折扣累积奖励
returns = []
G = 0
for r in reversed(rewards):
G = r + gamma * G
returns.insert(0, G)
returns = torch.tensor(returns)
# 标准化 (可选但推荐)
returns = (returns - returns.mean()) / (returns.std() + 1e-8)
# 计算损失并更新
policy_loss = []
for log_prob, G in zip(log_probs, returns):
policy_loss.append(-log_prob * G)
optimizer.zero_grad()
loss = torch.stack(policy_loss).sum()
loss.backward()
optimizer.step()
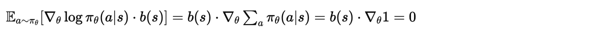
五、降低方差:Baseline 的引入 REINFORCE 虽然简单,但有个大问题——方差太大!😰
由于我们用蒙特卡洛采样来估计梯度,每条轨迹的奖励波动会导致梯度估计的高方差,进而使学习过程非常不稳定。
5.1 Baseline 技巧
一个关键的洞察是:我们可以从奖励中减去一个不依赖于动作的 baseline ,而不改变梯度的期望:

为什么这不会引入偏差?因为:

5.2 最佳 Baseline 理论上,最优的 baseline 是什么呢?
可以证明,当 (状态价值函数)时,方差最小。此时:

这就是 Advantage(优势函数)!它衡量的是某个动作相比平均水平好多少。
这就引出了著名的 Actor-Critic 架构:
-
Actor:策略网络 ,负责选动作
-
Critic:价值网络 ,负责评估状态价值,作为 baseline
六、从 REINFORCE 到现代算法 REINFORCE 只是起点。现代策略梯度算法在此基础上做了大量改进:
算法 主要改进 Actor-Critic (A2C) 引入 Critic 降低方差,使用 TD 误差 A3C 异步并行训练多个 Actor TRPO 通过信任域约束保证策略更新的稳定性 PPO 用 Clip 机制简化 TRPO,效果好且实现简单 SAC 最大熵框架,鼓励探索,适合连续控制 其中 PPO(Proximal Policy Optimization) 可能是目前应用最广泛的算法,包括 ChatGPT 的 RLHF 训练中就使用了 PPO!
七、总结 让我们回顾一下今天学到的核心要点:
策略梯度方法打开了强化学习的新大门,让我们能够处理更复杂、更真实的问题。希望这篇文章能帮助你建立对 Policy Gradient 的直觉理解!
如果你觉得这篇文章有帮助,欢迎分享给更多对强化学习感兴趣的朋友!有任何问题,欢迎在评论区讨论。 🌟


