【AI基础篇】Transformer架构深度解析与前沿应用


Transformer模型最初被设计用于机器翻译任务,其遵循一个经典的 编码器-解码器(Encoder-Decoder) 结构。编码器负责将输入序列(如源语言句子)映射成一连串连续的表示,解码器则利用这些表示,自回归地生成输出序列(如目标语言句子)。
1.1 整体架构:编码器与解码器的堆叠
一个完整的Transformer模型由一个编码器栈(stack)和一个解码器栈组成。
- 编码器(Encoder): 由N个相同的编码器层堆叠而成 。每一层主要包含两个子层:一个 多头自注意力机制(Multi-Head Self-Attention) 和一个 逐位置前馈神经网络(Position-wise Feed-Forward Network) 。
- 解码器(Decoder): 同样由N个相同的解码器层堆叠而成。与编码器层不同,每个解码器层包含三个子层:一个 掩码多头自注意力机制(Masked Multi-Head Self-Attention) ,一个 编码器-解码器注意力机制(Encoder-Decoder Attention) ,以及一个逐位置前馈神经网络 。
为了实现深度网络的有效训练,每个子层的输出都采用了 残差连接(Residual Connection) ,并随后进行 层归一化(Layer Normalization) 。
1.2 输入处理:词元嵌入与位置编码
由于Transformer模型本身不处理序列的顺序信息,输入端需要进行特殊处理,将词元及其位置信息转化为模型可理解的向量。
- 词元嵌入(Token Embedding): 与其他深度学习模型类似,Transformer首先将输入的离散词元(tokens)通过一个可学习的嵌入层,转换为固定维度dmodel 的连续向量表示。
- 位置编码(Positional Encoding): 为了让模型感知到词元在序列中的位置,必须向输入嵌入中注入位置信息。
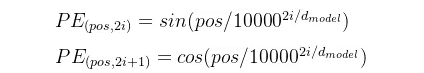
- 正弦/余弦位置编码: 这是原始论文中提出的方法。它使用不同频率的正弦和余弦函数来为每个位置生成一个独特的、固定不变的位置向量 。其数学公式如下:

其中pos是位置索引,i是向量维度索引。这种方法的优点在于,它能够让模型推断出比训练时所见过的更长序列的位置信息,因为相对位置的编码可以通过线性变换得到。
* 可学习的位置嵌入: 另一种方法是将位置信息作为可学习的参数,即为每个绝对位置创建一个可训练的嵌入向量,在模型训练过程中进行优化 。原始Transformer论文的实验发现,这两种方法在性能上没有显著差异。
最终的输入表示是词元嵌入和位置编码的总和。
1.3 核心机制:缩放点积注意力与多头注意力
注意力机制是Transformer的核心,它允许模型在处理一个序列时,为序列中的每个词元动态地计算其与其他词元的相关性权重。
缩放点积注意力(Scaled Dot-Product Attention): 这是Transformer中使用的具体注意力实现。其输入为三个矩阵:查询(Query, Q)、键(Key, K)和值(Value, V)。其计算过程可以概括为:首先计算查询与所有键的点积,然后除以一个缩放因子,接着通过Softmax函数得到权重,最后将这些权重应用于值。
其数学公式为:

多头注意力(Multi-Head Attention): 与其只执行一次注意力计算,多头注意力机制通过将Q、K、V分别进行多次(h次,即头的数量)独立的线性投影,并行地执行 h 次缩放点积注意力计算 。这使得模型能够从不同的表示子空间(representational subspaces)共同学习信息。
其计算过程如下:

1.4 子层结构:前馈神经网络、残差连接与层归一化
- 逐位置前馈神经网络(Position-wise Feed-Forward Network, FFN): 注意力子层的输出会经过一个FFN。这个网络独立且相同地应用于序列中的每一个位置。它通常由两个线性变换和一个ReLU(或GELU)激活函数组成。
这个FFN为模型增加了非线性能力,并且扩展了模型的表示能力。其内部维度dff 通常是模型维度dmodel的4倍。

1.5 完整的Transformer层前向传播推导与伪代码
下面我们整合上述所有组件,给出一个Transformer编码器层的前向传播过程的数学推导与Python风格伪代码。


Python风格伪代码实现 :
第二章:Transformer模型的训练策略
为了有效训练庞大且复杂的Transformer模型,研究者们开发了一系列关键的训练策略和技巧。
2.1 学习率调度 (Learning Rate Scheduling)
Transformer的训练对学习率非常敏感。原始论文采用了一种特殊的学习率调度策略,包含一个 线性预热(warm-up) 阶段,随后进行平方根倒数衰减 。
- 预热: 在训练初期,学习率从0开始线性增加到一个预设值。这有助于在训练开始时参数尚未稳定时,避免过大的更新步长导致模型发散 。
- 衰减: 预热结束后,学习率按步数的平方根倒数进行衰减。这使得模型在训练后期能够以较小的步长进行微调,从而更接近最优解。
2.2 正则化技术 (Regularization Techniques)
- Dropout: Transformer在多个位置应用了Dropout,包括词嵌入与位置编码相加后的输出、以及每个子层(注意力和FFN)的输出在进入残差连接之前 。这是一种有效的正则化手段,通过在训练时随机“丢弃”一部分神经元的输出来防止模型过拟合。
- 标签平滑(Label Smoothing): 在分类任务中,模型通常被训练来最大化正确标签的概率。标签平滑通过为真实标签的概率减去一个小数,并将其均匀分配给其他所有错误标签,来“软化”目标标签 。例如,将
[0, 0, 1]这样的硬标签变为[0.05, 0.05, 0.9]。这会降低模型对其预测的“自信度”,鼓励模型学习到更具鲁棒性的特征表示,从而提升模型的泛化能力和实际性能 。
2.3 针对序列生成任务的策略
- 教师强制(Teacher Forcing): 在训练序列生成模型(如机器翻译的解码器)时,一个关键问题是如何处理解码器的输入。教师强制策略在训练的每一步,都使用真实的目标序列(ground-truth)作为解码器的输入,而不是使用模型上一步自己生成的输出 。这样做可以极大地稳定和加速训练,因为模型不会因为早期的生成错误而导致后续错误累积。但这也造成了训练和推理之间的不匹配(exposure bias)。
2.4 预训练策略
Transformer架构的巨大成功在很大程度上归功于其在海量无标签数据上的预训练能力。
- 掩码语言建模(Masked Language Modeling, MLM): 这是BERT模型的核心预训练任务。它随机地遮盖(mask)输入句子中一定比例的词元,然后训练模型去预测这些被遮盖的词元 。由于模型需要利用双向的上下文信息来完成预测,这使得BERT能够学习到深度的双向语境表示。
- 因果语言建模(Causal Language Modeling, CLM): 这是GPT系列模型采用的策略。它训练模型根据一个序列中前面的词元来预测下一个词元。这种自回归(auto-regressive)的特性使得这类模型天然适用于文本生成任务。
第三章:应对长序列挑战:高效Transformer架构
3.1 标准自注意力的计算瓶颈
标准Transformer的最大局限在于其自注意力机制。注意力矩阵的计算和存储都需要与输入序列长度 n 的平方成正比的资源,即时间和空间复杂度均为 O(n2) 。
这个二次方复杂度导致:
- 内存瓶颈: 当序列长度增加时,内存消耗急剧上升。例如,对于一个序列长度为8192、16个头的注意力层,仅注意力权重矩阵(以FP16存储)就需约2.1GB显存 。
- 计算瓶颈: 计算量也随之飙升,使得处理长文档、高分辨率图像或长音频等任务变得非常昂贵甚至不可行。
3.2 高效变体解析
为了解决这一瓶颈,学术界和工业界提出了多种“高效Transformer”变体,其核心思想是近似或稀疏化完整的注意力矩阵。
- Reformer: 通过两种关键技术降低复杂度:
- 局部敏感哈希(Locality-Sensitive Hashing, LSH): 它通过哈希函数将相似的查询和键分到同一个桶(bucket)中,只在桶内计算注意力,从而将复杂度近似降低到O(nlogn)。
- 可逆残差层(Reversible Residual Layers): 允许在反向传播时通过下一层的激活重新计算出上一层的激活,从而无需在内存中存储所有层的激活值,极大地节省了内存。
- Longformer: 采用一种稀疏注意力模式,结合了多种注意力类型:
- 滑动窗口(局部)注意力: 每个词元只关注其邻近的固定大小窗口内的其他词元。
- 扩张滑动窗口: 窗口中有“空洞”,以在不增加计算量的情况下扩大感受野。
- 全局注意力: 允许少数预先选定的“重要”词元(如[CLS])关注序列中的所有其他词元。
- 这种组合将复杂度降低到O(n)。
- Performer/Linformer/Nyströmformer (低秩/核方法):
- Linformer 证明了注意力矩阵是低秩的,因此可以通过将K和V投影到更小的维度来近似,将复杂度降至O(n)。
- Performer 使用一种基于随机特征映射的核方法来近似Softmax注意力,无需显式计算n*n 的注意力矩阵,实现了线性的时间和空间复杂度。
- Nyströmformer 采用Nyström方法,通过选择一部分“地标”词元来近似完整的注意力矩阵,同样达到线性复杂度。
总结
Transformer架构凭借其核心的自注意力机制和并行计算能力,不仅彻底革新了自然语言处理,也已成为驱动人工智能多领域发展的核心引擎。从最初的编码器-解码器结构,到BERT的双向表示和GPT的强大生成能力,再到ViT在视觉领域的跨界应用,Transformer展现了其作为一种通用序列处理工具的巨大潜力。
面对标准模型在处理长序列时的O(n2) 复杂度瓶颈,高效Transformer变体(如Reformer、Longformer、Performer等)通过稀疏化、低秩近似等手段,成功将复杂度降低至线性或近线性级别,极大地拓展了模型的应用边界。


